Revealing Proxima Centauri's Extreme Flares

It's well-known that red dwarf stars like our neighbour Proxima Centauri emit powerful flares, and new observations with ALMA show exactly how powerful they are. It adds weight to a pertinent question: How does the flaring affect nearby planets? Image Credit: NSF/AUI/NSF NRAO/S. Dagnello
It's well-known that red dwarf stars like our neighbour Proxima Centauri emit powerful flares, and new observations with ALMA show exactly how powerful they are. It adds weight to a pertinent question: How does the flaring affect nearby planets? Image Credit: NSF/AUI/NSF NRAO/S. Dagnello

In this age of exoplanet discovery, the flaring of red dwarf stars (M-dwarfs) has taken on new importance. M-dwarfs are known to host many terrestrial planets in their putative habitable zones. The problem is the flaring could make their habitable zones uninhabitable.

There's an ongoing debate about M-dwarf flaring, and researchers have published extensive research into it. Some studies show that it renders nearby rocky planets uninhabitable despite their position in the habitable zone, or "liquid surface water zone." Other research suggests that these stars release their most powerful and devastating flares from their poles. Since planets normally orbit on or near the ecliptic, they should be safe.

The entire debate about the habitability of red dwarf systems could benefit from more observational data. In new research published in The Astrophysical Journal, researchers used ALMA, the Atacama Large Millimeter/submillimeter Array, to observe Proxima Centauri flares. The paper is titled "The Proxima Centauri Campaign—First Constraints on Millimeter Flare Rates from ALMA." The lead author is Kiana Burton from the Center for Astrophysics and Space Astronomy at the University of Colorado.

Proxima Centauri (Cen) has been the subject of many flaring studies due to its proximity and potential to host habitable planets," the authors write. "The discovery of millimeter flares from this M dwarf with Atacama Large Millimeter/submillimeter Array (ALMA) has opened a new window into the flaring process and the space-weather environments of exoplanets like Proxima b.

Proxima Centauri (PC) is the closest star to the Sun. That makes Proxima b and its sibling Proxima d, along with candidate sibling Proxima c, the closest exoplanets to the Sun. Proxima b is a super-Earth exoplanet in the habitable zone. It's expected that PC's powerful flaring put its habitability status in doubt.

"Our Sun's activity doesn't remove Earth's atmosphere and instead causes beautiful auroras because we have a thick atmosphere and a strong magnetic field to protect our planet," said study co-author Meredith MacGregor of Johns Hopkins University. "But Proxima Centauri's flares are much more powerful, and we know it has rocky planets in the habitable zone," she said in a press release.

NoneThis artist's illustration shows Proxima Centauri as an arid super-Earth. By ESO/M. Kornmesser -https://www.eso.org/public/images/ann16056a/, CC BY 4.0,https://commons.wikimedia.org/w/index.php?curid=50869082

M-dwarfs like PC are much different than our Sun. PC has only about 0.12 solar masses. This means that its interior structure is different than our Sun's. While the Sun is large enough to have both convective and non-convective layers, the red dwarf has only convective layers. It also has powerful magnetic fields that drive its flaring, which directs powerful energy at the planets in the habitable zone.

"What are these flares doing to their atmospheres? Is there such a large flux of radiation and particles that the atmosphere is getting chemically modified, or perhaps completely eroded?" MacGregor asks.

To find out, the researchers combined archival data with new data from ALMA. They observed PC for 50 hours, during which time they observed 463 flare events. Their energies ranged from 10^24^to 10^27^erg, and the flares were short events lasting 3 to 16 seconds.

These flares are very powerful compared to the Sun. Scientists classify solar flares on a scale from A to X. Each class is 10 times more powerful than the previous class. They're classified by how strong their X-ray flux is at Earth's orbit.

NoneThis table shows the classifications and energy levels of solar flares.

The PC flares detected by ALMA would be about equivalent to the Sun's B-Class flares. While that may not sound impressive, PC is much less massive than the Sun, yet produces flares almost as powerful as the Sun's. This means that PC produces flares that represent a far larger percentage of their energy output than the same energy-level flares would on our Sun. Since PC's habitable zone is much closer than the Sun's, it means Proxima Centauri b is exposed to powerful flares before their energy can dissipate.

"When we see the flares with ALMA, what we're seeing is the electromagnetic radiation–the light in various wavelengths. But looking deeper, this radio wavelength flaring is also giving us a way to trace the properties of those particles and get a handle on what is being released from the star," said MacGregor.

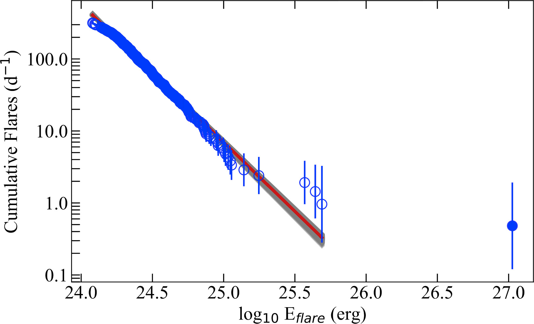
They do that by determining the Flare Frequency Distribution (FFD). FFD describes how often flares of different strengths occur and is a critical part of solar physics. They're typically mapped in a power law function, meaning less powerful flares occur more frequently than powerful flares.

NoneThis figure from the study shows the Flare Frequency Distribution for the 463 flares observed by ALMA. It follows a power law function. Image Credit: Burton et al. 2025.

ALMA revealed some surprises in PC's FFD. Proxima Centauri flares so actively that the researchers found many flares in each energy range. They also detected asymmetry in some of the most powerful flares: their decay phase was much longer than their initial burst. This points out how complex flaring can be and that energy transfer and magnetic field processes continue well after the initial burst phase.

This is the first time that an FFD has been measured at millimeter wavelengths for any M dwarf," the authors write, though they've been measured previously in other wavelengths. "Our results indicate that flaring emission at millimeter wavelengths is common and emphasize the utility of using microwave to millimeter observations to gain new insights into stellar flares.

The research shows that there's "a disconnect between sources of optical and millimeter emission during flares," as the authors write. The higher rate of millimeter flares over optical flares tells us something. It may mean that "the extreme-UV radiation environment of Proxima b due to small flares is also higher than predicted from the optical flare rate."

"The millimeter flaring seems to be much more frequent–it's a different power law than we see at the optical wavelengths. So if we only look in optical wavelengths, we're missing critical information. ALMA is the only millimeter interferometer sensitive enough for these measurements," MacGregor said.

The big question is, what does this tell us about how planets like Proxima Centauri b are affected by flaring?

Because of PC's small mass, its habitable zone is much closer than around larger stars like our Sun. Since Proxima Centauri b is in the habitable zone, it's so close to the star that it's tidally-locked. This means it doesn't rotate. Without rotation, it can't generate a protective magnetosphere.

That means the the planet is likely laid bare to radiation. We don't know if it has an atmosphere, but it seems unlikely. Without a protective shield, and with its exposure to intense stellar radiation and frequent stellar flares, it would be surprising if Proxima Centauri b could maintain an atmosphere, let alone be habitable.

More:

Evan Gough

Evan Gough

Evan Gough is a science-loving guy with no formal education who loves Earth, forests, hiking, and heavy music. He's guided by Carl Sagan's quote: "Understanding is a kind of ecstasy."