Primordial Black Hole Flybys Could Alter Exoplanet Orbits

An artist's illustration of primordial black holes. If they exist, they could alter the orbits of exoplanets and tell astrophysicists something about dark matter. Image Credit: NASA's Goddard Space Flight Center
An artist's illustration of primordial black holes. If they exist, they could alter the orbits of exoplanets and tell astrophysicists something about dark matter. Image Credit: NASA's Goddard Space Flight Center

Though our Solar System and the movement of its planets appears relatively sedate, there are many things that could upset it. Anything with enough mass that got close enough could disrupt planetary orbits. This includes primordial black holes (PBH).

PBHs are hypothetical black holes from the early Universe. Rather than forming from collapsing stars, these theoretical objects formed from the gravitational collapse of small pockets of extremely dense sub-atomic matter. This would've happened shortly after the Big Bang, before any stars shone.

New research explains how PBHs could affect exoplanet systems if they get too close and how likely it might be. The research is available at arxiv.org and is titled "The Potential Impact of Primordial Black Holes on Exoplanet Systems." The first author is Garett Brown from Xanadu Quantum Technologies, and the other authors are from Harvard University and the University of Illinois.

Primordial black holes could've formed when overdense regions in the early universe collapsed. Image Credit: By Gema White - https://www.slideserve.com/gema/primordial-black-hole-formation-in-an-axion-like-curvaton-model slide 19. Cropped to remove all elements of original authorship. Based on Kawasaki, Masahiro (2013-03-18). "Primordial black hole formation from an axionlike curvaton model". Physical Review D 87 (6): 063519. DOI:10.1103/PhysRevD.87.063519., Public Domain, https://commons.wikimedia.org/w/index.php?curid=131103715 *Primordial black holes could've formed when overdense regions in the early universe collapsed. Image Credit: By Gema White - https://www.slideserve.com/gema/primordial-black-hole-formation-in-an-axion-like-curvaton-model slide 19. Cropped to remove all elements of original authorship.Based on Kawasaki, Masahiro (2013-03-18). "Primordial black hole formation from an axionlike curvaton model". Physical Review D 87 (6): 063519. DOI:10.1103/PhysRevD.87.063519., Public Domain, https://commons.wikimedia.org/w/index.php?curid=131103715*

Primordial black holes were first proposed in 1966 and are purely hypothetical. In recent times, some have proposed that they could explain the massive galaxies the JWST detected in the early Universe. They could potentially be important components of dark matter, or even compose dark matter entirely. If they do exist, they could be as massive as asteroids while as small as an atom. Some could be much more massive, since they're not restricted to the mass range of stellar-mass black holes. They travel at high speeds, and if they are real, one is likely moving through the Solar System at any given time.

"We explore the prospect that if there is a sizeable population of primordial black holes (PBH) in our galaxy, then these may also impact the orbits of exoplanets," the researchers write. "Specifically, in a simplified setting, we study numerically how many planetary systems might have a close encounter with a PBH, and analyze the potential changes to the orbital parameters of systems that undergo PBH flybys."

Three-body problems are at the heart of this, with the bodies being a star, a planet, and a PBH. In this case, the PBH performs a flyby of the other two. "Such flybys exchange energy with the planet-star system and may perturb the orbit of the planet," the researchers explain. "While we will phrase our study in terms of PBH, our conclusions should be robust for other compact massive objects since the results are entirely set via their gravitational influence."

We know of more than 5,000 confirmed exoplanets, but high-precision measurements and modelling of their distributed orbital parameters would be needed to infer which ones may have been affected by PBH flybys. This is beyond the capabilities of astronomers. But the topic is a fascinating one.

"Setting aside the challenges in observations and formation modeling, it is interesting to consider how late-time planetary orbits may be shaped due to interactions between planetary systems and transient close encounters with massive exotic astrophysical bodies that intrude into the parent star’s radius of influence," the authors write. "Here we present a first analysis of this interesting prospect."

The team simulated flyby encounters between a PBH and a solar system with a single star and a single planet. Since PBHs are expected to move at high speeds, these encounters are considered impulsive, whereas an encounter with a slower object would be considered adiabatic. In an adiabatic encounter, the planetary orbit would adjust gradually to the changing gravitational field. In an impulsive encounter, the planetary orbit would be disrupted very suddenly.

To test how plausible the idea of PBH flybys are, the researchers estimated the number of flybys in the galaxy and their typical velocities. To do that, they based their work on a solar system with one solar-mass star and a planet with a Jupiter-like orbit in terms of its eccentricity and semi-major axis. "We focus on the case that the intruding PBH passes through the system without being captured, i.e. a one time ‘flyby’," the researchers explain.

To understand the impact that PBH flybys have on these Jupiter-like systems, the researchers considered three questions:

  • Given a star in a circular orbit around the galactic center at a given distance, how many PBH enter the star’s local neighborhood within a given time period?
  • For a PBH that enters the neighborhood of a star, what is the probability that the PBH comes sufficiently close to appreciably perturb planetary orbits around the star?
  • For a PBH that enters the planet perturbing region, what is the statistical impact on the orbital parameters?

"By answering each of these questions in turn, we will explore whether PBH (or similar objects) can significantly impact the orbits of exoplanets," the authors write.

They found that just like intruding stars, PBH flybys can alter the orbits of planets. How often this happens depends on the masses of PBHs, and their abundance.

Since we don't know if PBHs are even real, we also don't know how abundant they are, or how often they approach solar systems. The team simulated PBHs at different distances from the modelled solar systems to see what would happen.

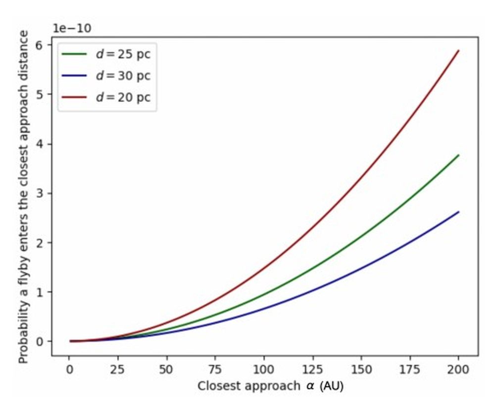
This graph shows the probability that a PBH at initial distances of 20, 25, and 30 parsecs will pass within a given distance of closest approach (α) of a star. For star-Jupiter systems we take α = 15 AU. Image Credit: Brown et al. 2025. This graph shows the probability that a PBH at initial distances of 20, 25, and 30 parsecs will pass within a given distance of closest approach (α) of a star. For star-Jupiter systems we take α = 15 AU. Image Credit: Brown et al. 2025.

A few factors constrain the number of possible PBHs in the galaxy. Microlensing surveys place some constraints, as does potential dark matter annihilation. The researchers settled on 3 × 106 PBHs for the entire galaxy, or 3 million.

The figure below shows a cumulative count of PBH flybys in terms of increasing distance to the galactic center. The results are averaged over 100,000 simulations,

This figure shows the number of systems that undergo PBH flybys, taken to be within a radius α = 15 AU, if there are 3 million primordial black holes in the galaxy. The 15 AU value is how close a PBH would have to come to Jupiter to change its orbit impulsively. Image Credit: Brown et al. 2025. This figure shows the number of systems that undergo PBH flybys, taken to be within a radius α = 15 AU, if there are 3 million primordial black holes in the galaxy. The 15 AU value is how close a PBH would have to come to Jupiter to change its orbit impulsively. Image Credit: Brown et al. 2025.

Depending on a PBHs mass and velocity, and the planet's velocity, the simulated flybys altered the eccentricity of the Jupiter-like planet's orbit in different amounts.

This figure shows the resulting eccentricities in the Jupiter-like planet's orbit after PBH flybys with masses of 0.1 solar masses and a velocity of 200 km/second. Image Credit: Brown et al. 2025. This figure shows the resulting eccentricities in the Jupiter-like planet's orbit after PBH flybys with masses of 0.1 solar masses and a velocity of 200 km/second. Image Credit: Brown et al. 2025.

Other results are possible, but rare, according to the authors. Some PBHs might be captured, and some solar systems might suffer multiple flybys. Nature's like that.

Unfortunately, there's currently no way to test these results observationally.

"It is interesting to consider whether a population of exotic bodies may be able to explain variations or anomalies in the orbits of planetary systems," Brown and his co-researchers write. "In principle, precision measurements of exoplanet orbital parameters could be used to infer or constrain the abundances of PBH; however, in practice, the large uncertainties relating to both measurements and planetary formation present significant obstacles."

It's possible that future capabilities will allow these types of measurements, but that is an unknown. If it becomes possible, and if better modelling of exoplanet orbital parameters comes to fruition, then astronomers may be able to place constraints on the number of PBHs and flybys.

"While we do not expect to be able to use exoplanet observations to place constraints in the near future, this work outlines the general principles of how one might use a future precision catalogue of exoplanets to discover or constrain populations of PBH," the authors conclude.

Evan Gough

Evan Gough

Evan Gough is a science-loving guy with no formal education who loves Earth, forests, hiking, and heavy music. He's guided by Carl Sagan's quote: "Understanding is a kind of ecstasy."