Newborn exoplanets can have a tough life. They may form an atmosphere, but that atmosphere can be doomed. Their stars can emit intense X-ray and UV radiation, stripping away those atmospheres and laying their surfaces bare.
A team of researchers from the Leibniz Institute for Astrophysics looked at a family of four newborn sibling planets, and tried to understand how their star strips away their gaseous envelopes.
Planets that orbit close to their stars are at the mercy of those stars. Young planets like the ones in this study are found around younger stars, which behave differently than our 4.6 billion year old, adult Sun. Young stars rotate faster, which drives intense x-ray and uv emissions. And those emissions can be very destructive to young planets, destroying their atmospheres and leaving them as barren, rocky worlds,
The title of this new research paper is " X-ray irradiation and evaporation of the four young planets around V1298 Tau." The lead author is Katja Poppenhäger, a Professor of Astrophysics at the Leibniz Institute for Astrophysics (AIP) and the University of Potsdam in Germany. The paper is published in the Monthly Notices of the Royal Astronomical Society.
V1298 Tau is the star at the center of this study. It's about 23 million years old, very young for a star, and it hasn't entered the main sequence yet. It's very similar to the Sun, at 1.1 solar masses, so it's considered a good analog for the Sun. V1298 has four planets, all discovered in 2019.
Two of the planets are Neptune-sized and are closer to the star than the other two Saturn-sized planets, which orbit at a greater distance. As stars age, their spin rate slows, and their x-ray emissions weaken. The researchers looked at how the spin-down rate of the star interacted with the current densities of the planets, which can change during their early formative years. They wanted to model what would happen to the planets, especially the inner planets, as the young solar system aged and evolved.
"...we find that the innermost two planets can lose significant parts of their gaseous envelopes, and could be evaporated down to their rocky cores..."From the paper "X-ray irradiation and evaporation of the four Youngplanets around V1298 Tau."
In their paper, the stripping away of the young planets' atmospheres is called 'radiation-driven mass loss.' In their introduction the authors write, "We estimate the radiation-driven mass loss of the exoplanets, and find that it depends sensitively on the possible evolutionary spin-down tracks of the star as well as on the current planetary densities."
According to the team, the two innermost planets are likely in a perilous situation. "Assuming the planets are of low density due to their youth, we find that the innermost two planets can lose significant parts of their gaseous envelopes, and could be evaporated down to their rocky cores depending on the stellar spin evolution," they write.
But their results aren't absolutely certain. It could take up to 5 billion years for the inner planets to be turned into rock only, with all of their atmospheres stripped away.
Their results showed that a lot depends on the star itself. Since its rapid rotation drives the x-ray emissions that strip away the exoplanet atmospheres, the sooner that rotation slows, the less pronounced the stripping effect.
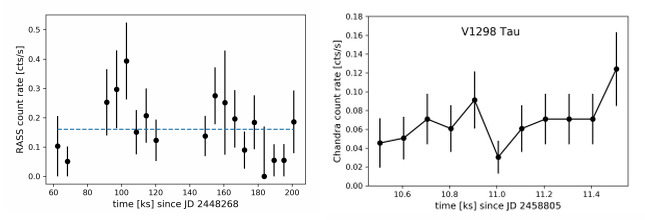
"We observed the X-ray spectrum of the star with the Chandra space telescope to get an idea how strongly the planetary atmospheres are irradiated," explain lead author Katja Poppenhäger in a press release.
"The evaporation of the exoplanets depends on whether the star spins down quickly or slowly over the next billion years – the faster the spin-down, the less atmosphere is lost," said PhD student and co-author Laura Ketzer.
Part of their study involved characterizing the x-ray output of the star. To do that, the researchers used data from NASA's Chandra X-ray Observatory, and from the now-defunct ROSAT x-ray satellite.
Overall the study shows that the outermost, Saturn-sized planet will not lose its atmosphere, and will remain a gas giant. The fate of other Saturn-size planet will depend on its density, which is not well-constrained.
"For the third planet, it really depends on how heavy it is, which we don't know yet. Measuring the size of exoplanets with the transit technique works well, but determining planetary masses is much more challenging," explains co-author Matthias Mallonn, who has updated the transit properties of the system using observations with AIP's ground-based STELLA telescope.
But the masses of the inner two Neptune-sized planets are not as critical, due to their proximity to the star. For those two, the eventual fate of their atmospheres will depend more on the star's spin-down rate.
It's not possible to know for certain the masses of the planets, so the modelling takes a few potential fates into consideration. These revolve around the idea of a "fluffy planet" and a "high-density planet." Those terms describe the relative density of a planet.
In their paper the authors assign different masses to each type of planet, then simulate what would happen to their atmospheres over time.
Their study makes it pretty clear that a denser, more massive planet has a better chance of holding onto its atmosphere, especially if the star spins down relatively quickly. But for the opposite scenario—a less massive planet with a star that takes a long time to spin down— its fate is almost certain. It'll end up as a rocky world.
"X-ray observations of stars with planets are a key puzzle piece for us to learn about the long-term evolution of exoplanetary atmospheres," concluded Poppenhäger. "I am particularly excited about the possibilities we get through X-ray observations with eROSITA over the next few years." The eROSITA X-ray telescope, which has been developed in part by the AIP, is conducting observations of the whole sky and will yield X-ray properties for hundreds of exoplanet host stars.
The authors of a previous study said that "Exoplanets orbiting pre-main sequence stars are laboratories for studying planet evolution processes, including atmospheric loss, orbital migration, and radiative cooling." V1298 Tau is exactly this type of laboratory for understanding early solar systems.
The four planets and the star are young, and the planets themselves are quite large for their apparent masses, with large radii. They're significantly larger than most multi-exoplanet systems found with Kepler. That almost certainly indicates that they will lose mass due to radiative stripping as their star evolves.
In their paper the authors explain that their modeling is not the last word on the study of multi-exoplanet systems like this one. They point out that they didn't account for every possible mechanism that could affect radiative mass loss. "In summary, our evaporation model is relatively simple and does not attempt to include all potentially relevant physical aspects of exoplanet evaporation, such as stellar winds, magnetic shielding, or any hydrodynamic effects."
But the study is still interesting. It shows how radiative mass loss can be driven by the starting mass of the exoplanets and the evolution of the star.
"However," they continue, "it is still instructive to see how even the inclusion of relatively few physical parameters, especially the stellar activity evolution and the planetary mass, can already cause a
wide variety of possible future evolution tracks for the planets."
In their conclusion they point out that it's the low-mass planets that suffer the most due to photoevaporative mass loss, mostly because they lack the gravity to hold onto their atmospheres. But even for those lower-mass exoplanets, they say that "Our results show that the stellar activity evolution and the age at which spin-down sets in can make a significant difference in possible life-time evaporation outcomes for the planets."
More:
- Press Release: Four newborn exoplanets get cooked by their sun
- Research Paper: X-ray irradiation and evaporation of the four young planets around V1298 Tau
- Universe Today: Exoplanet Atmospheres Provide Clues to Solar System Formation
Universe Today




