Even though our Sun is now a solitary star, it still has siblings somewhere in the Milky Way. Stars form in massive clouds of gas called Molecular Clouds. When the Sun formed about five billion years ago, other stars would've formed from the same cloud, creating a star cluster.
How many other stars formed in the cluster?
Molecular clouds are called that because they're dominated by molecular hydrogen, two atoms of hydrogen bonded together. There are other components, but hydrogen is king.
Astronomers can see lots of molecular clouds in space, and they use powerful telescopes to peer into them and watch as young stars form. The nearest molecular cloud to Earth is the Taurus Molecular Cloud, only 430 light-years from Earth. Molecular clouds are sometimes called stellar nurseries when they're actively forming stars, and the stars in the Taurus GMC are very young: only one or two million years old. There are hundreds of young stars in the nursery.
When a cloud collapses to form stars, it starts by forming dense cores where gas accumulates and draws yet more gas into the cores. The cores eventually become stars of different masses. Not all of the Sun's siblings are like it: some will be much more massive and will live only a few million years before exploding as supernovae. This is a key point.
The Sun and the other stars that formed in the same cloud formed a star cluster. Over time, the cluster broke up due to the gravitational interference of other molecular clouds. Once a star cluster breaks up, the stars are called a stellar association since they move in broadly the same direction in space. In 2014, a team of astronomers published a paper showing that they'd found the Sun's first sibling. It's called HD 162826, and it's about 110 light-years away. The researchers identified it based on its chemical metallicity and its dynamical conditions.
But the Sun could have hundreds or even thousands of siblings, and each one would've formed in its own core in the cloud. In a new paper, a pair of Japanese researchers tried to understand how many siblings the Sun has.
The study is " On the Number of Stars in the Sun's Birth Cluster," and it's been submitted to the journal Astronomy and Astrophysics but is available at arxiv.org. The authors are Sota Arakawa and Eiichiro Kokubo. Arakawa is from the Japan Agency for Marine-Earth Science and Technology, and Eiichiro is from the National Astronomical Observatory of Japan (NAOJ.)
The most primitive meteorites are the carbonaceous chondrites%20of%20meteorite%20falls.). They contain tiny rocks called calcium-aluminum-rich inclusions (CAIs.) CAIs are the oldest dated solid objects scientists know of, so scientists use them to date our Solar System. They have a weighted mean age of 4567.30 ± 0.16 Myr, so that's the age we use for the Solar System.
CAIs can contain an isotope of aluminum called26Al. But26Al is a radioactive isotope, meaning it decays over time. Its half-life is 770,000 years. No process on Earth can produce it, but supernovae do, and other processes in the cosmos can. Supernovae explosions are tumultuous events that produce all kinds of heavy elements through nucleosynthesis, including26Al. And they produce it wherever they explode in the Universe.
As26Al in space decays, it produces gamma rays. Astronomers can measure the gamma rays that come from26Al in the galaxy. The gamma rays indicate ongoing nucleosynthesis, and this leads to an understanding of how many supernovae there are and how often they occur. The link between CAIs,26Al, and the frequency of stars that explode as core-collapse supernovae (CCSN) is critical in this study.
When scientists find26Al in a CAI in a meteorite that fell to Earth, they can measure the amount of26Al and compare it with the amount of decay-related elements in the CAI to find the age of the meteorite or when it fell to Earth. CAIs rich in26Al and poor in26Al co-exist.
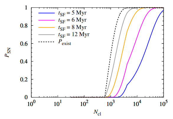
"The coexistence of26Al-rich and26Al-poor calcium–aluminum-rich inclusions indicates that a direct injection of26Al-rich materials from a nearby core-collapse supernova should occur in the first 105years of the solar system. Therefore, at least one core-collapse supernova should occur within the duration of star formation in the Sun's birth cluster," the authors explain.
Stars don't keep forming forever in a molecular cloud. Eventually, most of the gas is used up, and the young stars dissipate the rest of the gas once they start shining. Since the period of star formation in the birth cluster is finite, and since we know the rate of supernova explosions, the two can be combined to help illuminate how many siblings the Sun has. If that sounds complicated, it is. But it's solid, well-understood science.
"Here, we revisit the number of stars in the Sun's birth cluster from the point of view of the probability of acquiring at least one core-collapse supernova within the finite duration of star formation in the birth cluster," the authors write. "We find that the number of stars in the birth cluster can be significantly larger than that previously considered, depending on the duration of star formation."
The massive stars that end their lives as core-collapse supernova (CCSN) explosions don't live nearly as long as the Sun. They may live only a few million years, meaning they can form, explode, and die while other solar systems like the Sun's are still forming. When they explode, they inject nearby solar systems with short-lived radionuclides (SLRs,) including26Al. These tiny grains of26Al are taken up in CAI formation.
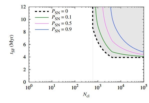
The authors assume that a CCSN occurred near the birth of the Solar System. This is plausible since SN explosions create shock waves that trigger star birth when they slam into molecular clouds. In their framework, there needs to be at least one additional CCSN during the period of star formation in the cluster. They calculated that probability and came up with an event rate for CCSNs.
There are two different scenarios for a CCSN injecting26Al into the cluster. It could inject it into a core in the molecular cloud where a protostar is just beginning to form. Or it could inject it later into a circumstellar disk around a young star that's no longer a protostar. When a CCSN injects it into a core, then the CCSN is also the event that initiates the formation of the protostar, as the CCSN's shock waves compress the gas in the molecular cloud. When it injects it into a circumstellar disk, then the star central to the disk is a Class II young stellar object (YSO.)
These two scenarios are different because the injection efficiency depends on dust sizes, and small 0.1–1 micron-sized dust particles could be implanted in the circumstellar disk. In that case, the CCSN would not only impact the abundance of short-lived radionuclides (SLRs) like26Al, but it would also impact the structural evolution of the disk.
In our Solar System, there's evidence that a CCSN occurred late enough to inject SLRs like26Al into the circumstellar disk while the Sun was a YSO. A 2018 study showed that a CCSN could be responsible for the misalignment between the Sun's equator and the ecliptic.
So where does that lead us? That's a lot of detailed information. Does it tell us how many siblings the Sun might have? Not exactly, but it does constrain the number.
This study is the latest in a succession of efforts to determine how big the Sun's family is. A 2010 study evaluated how many stars there would have to be in a cluster before one massive enough formed that would explode as a CCSN. But that study and other similar ones didn't consider the timing of the CCSN in the cluster. They were more static. The existence of massive stars large enough to become CCSNs doesn't necessarily support one occurring during the cluster's star formation period.
This study refined those earlier ones. They revisited the number of stars in the Sun's birth cluster from the point of view of a CCSN directly injecting26Al into the young Sun's circumstellar disk. That constrains the timing. Then they "... calculated the probability for acquiring at least one CCSN within the finite duration of star formation in the birth cluster," they write in their paper.
They found that the number of stars in the cluster—the number of siblings the Sun has—is much higher than previous estimates. That's especially true if the duration of the star formation period is less than 10 million years.
Previous estimates have landed at about 500 siblings for the Sun. But this work comes in an order of magnitude higher. "The plausible number of stars in the Sun's birth cluster would be Ncl> 2 × 103when tSF< 12 Myr," the authors write. "Moreover, the plausible number would be Ncl> 2 × 104when a much shorter timescale of tSF<5 Myr is assumed."
That gives a range from about 2,000 to 20,000 siblings.
This study and others like it serve to constrain the number of siblings the Sun has out there. But it doesn't identify any specific ones. Once astronomers can do that, they can take a survey of stars and determine the size of the Sun's family more observationally. And they're moving in that direction.
The Sun formed in a cluster, and there are only two types: globular clusters and open clusters. Globulars are large and contain tens of thousands to millions of stars. They're still bound together gravitationally. Open clusters are smaller, containing as few as a few hundred stars up to a few thousand. They're only loosely bound and are deformed by the gravitational pull of nearby molecular clouds. They don't last long.
We know of over 1,100 open clusters in the Milky Way, and there are likely many more. The Sun was likely part of an open cluster before the cluster was deformed and the stars separated from one another.
Each molecular cloud has a slightly different chemical mixture, and the stars that form in that cloud have the same chemical fingerprint. So finding stars with the same fingerprint, even if they're separated by tens of light-years or more, indicates they may be siblings. But that's not enough.
The ESA's Gaia spacecraft has an ambitious mission. It was launched in 2013 to map the positions, distances, and motions of about 1.3 billion stars. Those measurements create the largest and most precise 3D catalogue of the Milky Way we've ever had. It's a massive amount of data, and inside that data somewhere lie the Sun's siblings.
Since Gaia images stars in a six-month cadence, the data shows a star's movement over time. Astronomers can then trace the movement backward in time to see if it aligns with the Sun's. If it does, and if its chemical fingerprint is the same, then there's a strong possibility that it formed in the same cluster with the Sun.
Researchers using Gaia data have found stellar families in the Milky Way stretched out into odd shapes.
But Gaia isn't done yet. It's been going for nine years and should keep going until 2025. The mission has released three sets of data for scientists to work with, and that data has fuelled a growing understanding of the Milky Way.
One day, thanks to Gaia and other missions that follow it, we may be able to identify the Sun's sibling group more completely.
More:
- New Research: On the Number of Stars in the Sun’s Birth Cluster
- Previous Research: ELEMENTAL ABUNDANCES OF SOLAR SIBLING CANDIDATES
- Universe Today: Thanks to Gaia we Know Exactly how and When the Sun Will die
Universe Today






