As planet-hunting scientists find more and more planets, they've encountered some puzzles. One of them concerns the lack of Neptune-size worlds orbiting close to their stars. Astronomers think that these planets aren't massive enough to retain their atmospheres in the face of their stars' powerful radiation, which strips it away.
But at least one of these planets has retained its atmosphere. How?
Astronomers have a name for this lack of Neptune-size planets near stars. They call it the Neptunian Desert, or sometimes the 'evaporation desert.'
The term has only a broad definition, and is usually described as the region so close to a star that the orbital period is between only two to four days. It's also defined by the lack of Neptune-size planets with about one-tenth of Jupiter's mass. Typically, planets lose their atmospheres when they migrate this close to stars and are reduced to only rocky cores, mere remnants of their once puffy selves.
One planet that has retained its atmosphere in the Neptunian Desert is LTT 9779 b. It orbits a G-type star about 260 light years away. It has 29 Earth masses, and has retained its atmosphere despite being only 0.01679 AU from its star and taking only 0.8 of a day to complete an orbit. In this situation, the star's overwhelming radiation should have simply removed the planet's atmosphere. Why hasn't it?
New research set out to answer that question. Its title is " Survival in the Neptune desert: LTT 9779 b kept its atmosphere thanks to an unusually X-ray faint host star. " It'll be published in the Monthly Notices of the Royal Astronomical Society. The lead author is Jorge Fernandez Fernandez, a PhD student in the Astronomy and Astrophysics group at the University of Warwick.
Photoevaporation is a well-understood phenomenon and it's linked to stellar rotation. All stars rotate, and when they rotate rapidly, they generate powerful magnetic fields which in turn drive powerful electromagnetic energy in the form of x-rays and UV radiation. When these energetic photons strike molecules in a planet's atmosphere, they push the molecules into space. Only a planet's gravity can counteract it, which explains why there are so many massive hot Jupiters, and almost no planets in the Neptunian Desert.
LTT 9779 b is the only known Neptune type planet with an orbital period under one day that has a significant hydrogen/helium atmosphere. In order for the planet to hang onto its atmosphere in such close proximity to its star, something unusual must be happening. "If the Neptune desert is the result of X-ray/EUV-driven photoevaporation, it is surprising that the atmosphere of LTT 9779 b survived the intense bombardment of high energy photons from its young host star," the authors write.
The answer must lie in the star itself, since there's nothing a planet this size can do to shield itself. It's directly in the path of its star's powerful output with nothing to shield it. To examine the star more closely, the researchers behind this study used XMM-Newton, the ESA's X-ray observatory launched in 1999.
The spacecraft is also called the High Throughput X-ray Spectroscopy Mission X-ray Multi-Mirror Mission. Its mission is to investigate interstellar x-ray sources, and though it was launched with a planned 10-year mission, it's still going after almost 24 years. XMM-Newton data is at the heart of this research.
A star's X-ray emissions are strengthened by its spin. A high rate of spin generates stronger magnetic fields, which means stronger X-ray emissions, and slower spin means weaker emissions. LT 9779's rotational velocity is about 1.06 km/s, and it takes about 45 days to complete one revolution, though the data supporting that is a little weak. Compare that to the Sun's quicker rotational velocity of 1.997 km/s. That's almost twice as fast, and the Sun is on the slow side compared to most stars. Hot stars can often rotate faster than 100 km/s. From this perspective, LT 9779 is rotating at a snail's pace.
Age is another factor in a star's x-ray emissions, and the researchers compared its emissions with its age. "We observed LTT 9779 with XMM-Newton and measured an upper limit for its X-ray luminosity that is a factor of fifteen lower than expected for its age," the paper states.
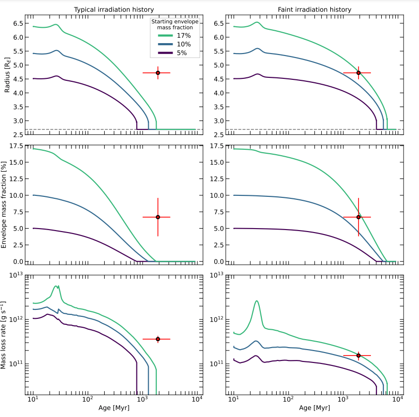
The researchers also modelled the planet's internal structure and how that affected its mass-loss history. They modelled the planet's radius, envelope mass fraction, and mass loss rate under two different XUV histories. One had an expected stellar emission history and one had a faint stellar emission history.
They found that "... the survival of its atmosphere to the present day is consistent with an unusually faint XUV irradiation history that matches both the X-ray and rotation velocity measurements."
So what happened in this system that one of its planets has survived in the desert?
Previous research suggested that this unusual scenario is due to late inward-migration by the planet, followed by what's called Roche-lobe overflow. Roche-lobe overflow typically occurs in binary star systems, where one star can't hold onto all its mass and the extra material forms an accretion disk around the second star. But in this case there's a single star drawing material from a planet, and according to this earlier research, the planet started out as a Jupiter-mass planet that lost much of its material to the star, leaving the Neptune-size LTT 9779 b behind.
But that explanation doesn't hold up, according to this work. These researchers arrived at a different conclusion that doesn't involve migration.
"We conclude that LTT 9779 most-likely formed as an anomalously slowly rotating star, and that its close-in Neptune-sized planet LTT 9779 b was thus able to survive in the Neptune desert to the present day due to unusually low X-ray irradiation," they write in their conclusion.
More supporting evidence comes from the planet's atmosphere itself. It has extremely high metallicity, and heavier molecules are more difficult to strip away than lighter ones. It also has a high albedo that reflects some of the star's radiation. That can only have helped LTT 9770 b retain its atmosphere.
This research supports the idea that photoevaporation is behind the Neptune Desert. It would be an incredible coincidence if the only planet in the Neptune Desert that retained its atmosphere is around a very slowly-rotating star with weak emissions, and the weak emissions had nothing to do with it. That would stretch credulity.
"Finally, our conclusion that the only known planet deep in the Neptunian desert with a gasesous envelope is also unusual in having an X-ray faint star, strongly supports the suggestion that the primary
origin of the Neptunian desert is X-ray driven photoeveporation."
Universe Today


