Astronomers have spotted the remnant of a rare type of supernova explosion. It's called a Type Iax supernova, and it's the result of an exploding white dwarf. These are relatively rare supernovae, and astronomers think they're responsible for creating many heavy elements.
They've found them in other galaxies before, but this is the first time they've spotted one in the Milky Way.
According to a new paper, the object is a Type Iax supernova, an exploding white dwarf that helps seed the Universe with heavy elements critical for life. Its name is Sgr A East.
The paper's title is " Chemical abundances in Sgr A East: evidence for a Type Iax supernova remnant." The lead author is Ping Zhou of Nanjing University in China and the University of Amsterdam. The paper will be published in The Astrophysical Journal.
When we think of supernovae, we tend to think of large stars much more massive than our Sun that explode when their cores collapse. But that's just one type of supernova. Another type is a white dwarf that accretes material from a companion before exploding. Those are called Type Ia supernovae and are also known as standard candles because they're reliable cosmic distance indicators.
But there's a subset of Type Ia supernovae called Type Iax. The difference between the two is in the speed of the thermonuclear explosion. Astronomers think that in a Type Iax, the explosion moves more slowly through the star, triggering heavy elements' synthesis. Since the wave of explosions moves more slowly, the explosions are weaker, creating different amounts of elements than in a type Ia supernova.
In a press release, lead author Zhou said, "While we've found Type Iax supernovae in other galaxies, we haven't identified evidence for one in the Milky Way until now. This discovery is important for getting a handle on the myriad ways white dwarfs explode."
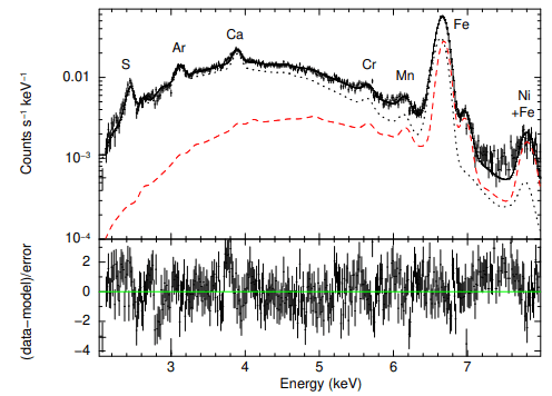
Type Iax supernovae are potentially important members of the supernova family because of the way they create elements. When they explode, they make elements like nickel, chromium, and iron.
The team used the Chandra X-ray Observatory to watch Sgr A East for 35 days. The X-ray data revealed an unusual accumulation of elements that were different from Type Ia supernovae. The data matched well with models of Type Iax supernovae.
Astronomers think that Type Iax is different from other white dwarf supernovae in the speed of the explosions that rip through the star. But Type Ia's start with the same initial situation: a close binary star system.
The two binary companion stars do what stars do until the largest one evolves off of the main sequence. It becomes a red giant, and then the two stars share a common envelope, causing their orbit to shrink. The red giant sheds much of its mass into space until fusion ceases and a white dwarf is left behind. At that point, the star is a carbon/oxygen white dwarf.
Now it's the next star's turn. It eventually evolves off of the main sequence and becomes a red giant, too. But this time, things are a little different. As it loses mass, that gas is accreted onto its white dwarf companion. From there, the exact details of what happens next have been unclear. The white dwarf somehow accretes enough matter to raise its mass above the Chandrasekhar limit, triggering fusion again.
The team behind this study says that a pure turbulent deflagration (PTD) explosion is the most likely cause at the heart of it all. In a PTD, the fusion rate is slower, and the energy release is also decreased relative to regular Type Ia supernovae.
With its X-ray spectroscopy, Chandra saw that the elements created by the SN were different from those produced by a core-collapse supernova. There was a low ratio of intermediate-mass elements to Fe and large Mn/Fe and Ni/Fe ratios. That was a signal that they were looking at the remnant of a Type Iax supernova.
"This result shows us the diversity of types and causes of white dwarf explosions, and the different ways that they make these essential elements," said co-author Shing-Chi Leung of Caltech in Pasadena, California. "If we're right about the identity of this supernova's remains, it would be the nearest known example to Earth."
The remnant is called Sgr A East because of its location near Sgr A*, the supermassive black hole at the Milky Way's center. Astronomers have spent a lot of time looking at Sgr A*. Over the last 20 years, images of the SMBH have shown something curious in the background. Now astronomers have figured out what it is, they think.
"This supernova remnant is in the background of many Chandra images of our galaxy's supermassive black hole taken over the last 20 years," said Zhiyuan Li, also of Nanjing University. "We finally may have worked out what this object is and how it came to be."
These results are very interesting, but there's some uncertainty around their results, as the authors clearly point out. The uncertainty stems from the uncertainty of supernova modelling. "We are aware that our interpretation of Sgr A East's progenitor highly depends on the existing SN nucleosynthesis models," they write in their conclusion. But their results will help develop those models further. "On the other hand, a better understanding of the SN ejecta masses and spatial distribution also help to constrain SN explosion mechanisms."
NASA's Chandra X-ray Observatory played a key role in this study. It's one of NASA's Great Observatories, a fleet of satellites that each operate in a different portion of the electromagnetic spectrum. But the Chandra has been around since 1999. Though it's still contributing to scientific advances, the authors think that future x-ray observatories and spectrometers will help us understand the variety of supernovae more clearly.
"Next-generation X-ray spectrometers with a high spectral resolution will provide crucial insight into the ejecta composition and masses in not only
Sgr A East but also other SNRs," the authors conclude.
More:
- Press Release: Rare Blast's Remains Discovered in Milky Way Center
- Research Paper: Chemical abundances in Sgr A East: evidence for a Type Iax supernova remnant
- Universe Today: A Supernova Exploded Dangerously Close to Earth 2.5 Million Years Ago
Universe Today



