Discovering exoplanets is a difficult job. Given the challenges, it's amazing that we've found any at all. But astronomers are clever, so there are currently more than 4,300 confirmed exoplanets. They range from small Mercury-sized worlds to planets larger than Jupiter, but most of them have one thing in common: they orbit close to their home star.
This isn't because most planets orbit close to their stars, but that our observations have a bias toward close-orbiting planets. The most common way to discover exoplanets is known as the transit method. This is where a planet passes in front of our view of a star, making the star dim slightly. It's a simple idea in principle, but in practice it's difficult. Stars vary in brightness by themselves due to things such as flares and starspots. To confirm a planet, you have to see a recurring pattern in the way a star dims, and that means you need to observe several transits of a planet. If a planet orbits the star every few days or months, then you can confirm a planet fairly quickly. But if a planet orbits a star every couple of years, it could take a decade or more of observations to be sure.
Even with this bias, we've learned a great deal about planetary systems. We know there are "hot Jupiters" that orbit close to their stars in a matter of days, and carbon worlds that would look very different from Earth. We also now know that our solar system with its rocky inner planets and gaseous outer planets is not typical for most star systems. Still, there is little we know about planets with orbits that are a year or longer. But that's starting to change, as seen in a recent paper.
Most of the exoplanets we know of were found by the Kepler mission. While Kepler did find a few exoplanets with orbital periods longer than 100 days, they are more difficult to confirm. Also, since the transit method only tells us the size of a planet relative to its star, the Kepler data doesn't let us determine a planet's mass. This is particularly troublesome for Jupiter-sized planets. Because the weight of a large planet causes it to compress more, a Jupiter-mass planet and a brown dwarf 30 times more massive can have roughly the same size. Determining the mass of these exoplanets is the goal of the Giant Outer Transiting Exoplanet Mass Survey, or the GOT'EM Survey for short.
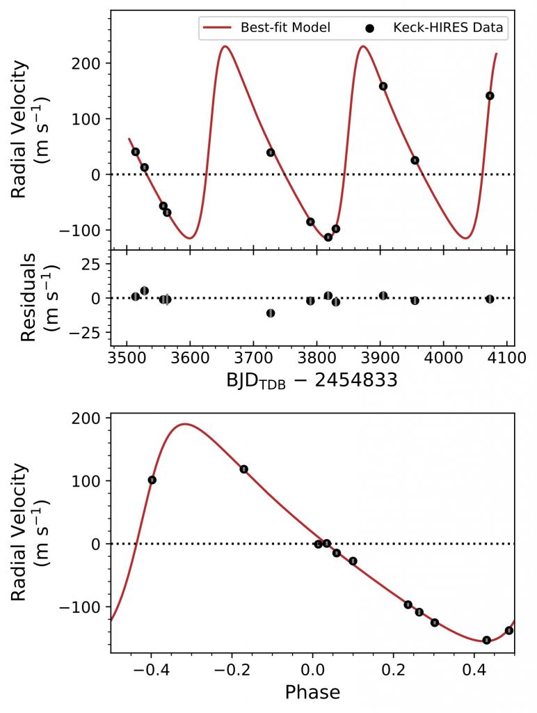
In this latest work, the team used a different way to study exoplanets known as the radial-velocity method. As a planet orbits its star, it tugs on the star gravitationally, causing the star to wobble slightly. When a star wobbles toward and away from us, the light of the star is shifted a bit to the blue and red in a regular pattern due to the Doppler effect. This method is particularly useful for large planets, and it can be used to measure a planet's mass since the amount of wobble depends on the mass of the planet.
The team focused on an exoplanet known as Kepler-1514b, which orbits its star every 218 days. It was discovered in 2016, and is known to have a diameter about 10% larger than Jupiter. Using one of the Keck Observatory telescopes in Hawaii, they made radial velocity measurements of the star Kepler-1514 and determined the exoplanet has a mass of about 5.3 Jupiters.
Studies such as this will be useful for future missions such as the Nancy Grace Roman Space Telescope planned for launch in 2025, which will try to image large exoplanets directly. Knowing the size and mass of GOT'EM worlds helps us estimate their temperature and brightness, which can be compared to observations in the future.
Reference: Dalba, Paul A., et al. " Giant Outer Transiting Exoplanet Mass (GOT'EM) Survey. I. Confirmation of an Eccentric, Cool Jupiter With an Interior Earth-sized Planet Orbiting Kepler-1514." *arXiv preprint* arXiv:2012.04676 (2020).
Reference: Morton, Timothy D., et al. " False positive probabilities for all Kepler objects of interest: 1284 newly validated planets and 428 likely false positives." *The Astrophysical Journal* 822.2 (2016): 86.
Universe Today

