It's difficult to study neutron stars. They are light years away and only about 20 kilometers across. They are also made of the most dense material in the universe. So dense that atomic nuclei merge together to become a complex fluid. For years our understanding of the interiors was based on complex physical models and what little data we could gather from optical telescopes. But that's starting to change.
The interior of a neutron star is governed by the equation of state for nuclear matter, known as the Tolman-Oppenheimer-Volkoff (TOV) equation. The equations are so complex that they require powerful computers to calculate, and the answers the TOV yields depend on some assumptions we make about how nuclear matter behaves in large quantities. So there is a great deal of fuzziness to our understanding of neutron stars. We know they are typically about 20 kilometers in diameter, but we don't know the exact relationship between a neutron star's mass and size. Observationally we know the upper mass limit for a neutron star is about two solar masses, but we don't know an absolute limit as we do for white dwarfs. We also don't know if quarks can be liberated within the interior to make a strange kind of quark star.
One of the challenges to answering these questions is the limitation of optical data we have. We can't see inside a neutron star, so we are limited to indirect observations. From observations of radio pulsars we know, for example, that neutron stars undergo starquakes so powerful that it changes the rotation rate of a neutron star. This tells us that neutron stars likely have a rigid crust that cracks occasionally as the neutron star cools. We also have some idea of a neutron star's interior by observing the spectra of supernovae formed when neutron stars collide. The resulting elements formed by the explosion give us indirect data on the interior composition. But our understanding is still largely based on theory. It would be nice to have a new kind of tool to study neutron stars other than optical telescopes.
Lucky for us, we have one. Gravitational wave telescopes have not only detected the mergers of black holes but have also detected the mergers of neutron stars. The waves produced as two neutron stars spiral toward each other aren't as powerful as those created by black holes, but we are getting better at detecting them. And the next generation of gravitational wave telescopes will be able to study neutron star mergers in greater detail. This was the focus of a new study published in *Physical Review Letters*.
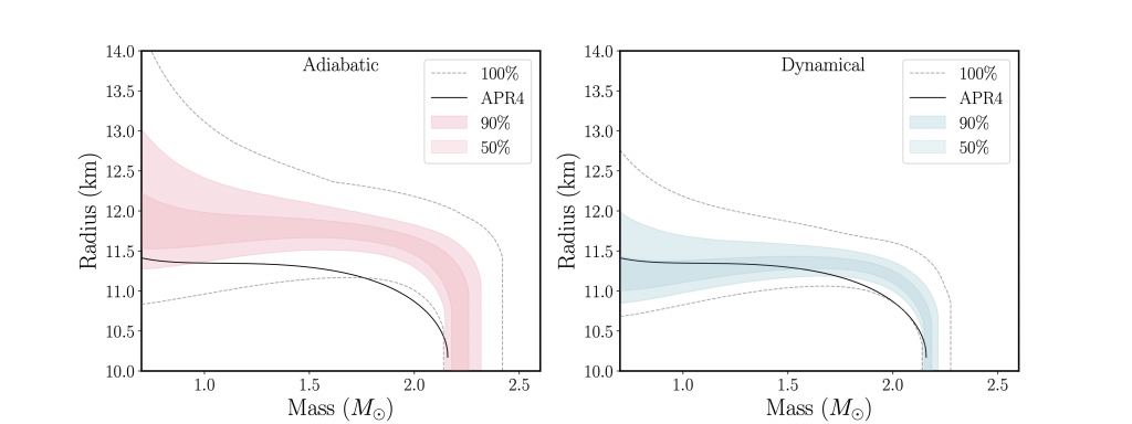
The study looks at how the gravitational waves of inspiraling neutron stars are affected by the size and shape of the neutron stars. Unlike black hole mergers, which are governed entirely by general relativity, neutron star mergers depend in part on how the neutron stars change shape under gravitational stress. If the neutron stars are more rigid, then they will remain fairly spherical as they approach each other, but if they are more fluid they will deform early on. The team used a sophisticated model to connect gravitational wave patterns to the neutron star equation of state and found that future gravitational wave observations could narrow down the equation of state.
The effect on gravitational waves is small, but the team has created a model for the next run of Advanced LIGO. They also have models ready for the next generation of LIGO instruments known as A+, which should have its first observation run in 2025. So it shouldn't be long before we have a wave of data that could finally reveal the deep interiors of neutron stars.
Reference: Pratten, G., et al. " Impact of Dynamical Tides on the Reconstruction of the Neutron Star Equation of State." *Physical Review Letters* 129.8 (2022): 081102.
Universe Today
